-
趁負責微信的(de)同事不在,我偷偷發布了這條消息 原創 2023-03-09 09:45 成都大同社工 聲明 我鬥膽抱着試一(yī)試的(de)心态,發布了此文,個人觀點,如(rú)有雷同,純屬...詳細>>
-
打造一(yī)站點三平台提升社工服務效能 成都市郫都區紅(hóng)光街道(dào)社工站案例 郫都區紅(hóng)光街道(dào)社工站 王蓮花 01 基本情況 在郫都區民政局和(hé)郫都區委社治委的(de)指...詳細>>
-
【同同案例】“重拾生活動力,點燃未來希望”紅(hóng)光街道(dào)關愛援助站個案服務案例...詳細>>
-
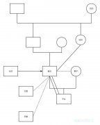
一(yī)、案例背景 (一(yī))基本情況 馬某(化名),67歲,女,漢族,社區計生優撫對象、低(dī)保對象母親 (二)個案背景情況 馬某,喪偶、兒子(zǐ)是社區低(dī)保對象...詳細>>
-
《馬說》一(yī)文中有這樣一(yī)句話:世有伯樂(yuè),然後有千裏馬,千裏馬常有,而伯樂(yuè)不常有。這句話也适用鄉村社會工作,在人才培育上,社會工作者扮演的(de)角...詳細>>
-
什麽是社工專家? 什麽是社工專家? 如(rú)果你想知道(dào)什麽是社工專家的(de)話 我現在就帶你了解 聽我說 為(wèi)進一(yī)步建設素質優良、結構合理(lǐ)、樂(yuè)于奉獻的(de)社會工作...詳細>>
-
同同喜報 成都市品牌社會組織 2020年(nián)8月,為(wèi)充分發揮優秀社會組織的(de)品牌示範引領作用,進一(yī)步促進成都市社會組織綜合能力和(hé)發展水平整體提升,有效推...詳細>>








